Premio Nobel de Química: los algoritmos de Baker y Hassabis-Jumper para el diseño de proteínas

El día de hoy el comité del Premio Nobel de Química 2024 anunció que los ganadores serán David Baker con el 50% del premio, además de Demis Hassabis y John M. Jumper con el otro 50%. Una de las herramientas decisivas para este trabajo es sin lugar a dudas la Inteligencia Artificial que ha sido fundamental en el trabajo de los tres galardonados.
El premio era considerablemente esperado debido a la enorme importancia para la medicina, la química, la ciencia de materiales y muchas de las otras disciplinas que se han beneficiado en los últimos años gracias al enorme avance que los algoritmos desarrollados por los ganadores han conseguido en la comprensión de una de las grandes preguntas científicas de los últimos 50 años.
Comprender la estructura tres dimensional de las proteínas permite a los científicos comprender con detalle las propiedades que olemos, sentimos o vemos de ellas, por ello descifrar esta estructura para la mayor parte de las proteínas como ya se ha logrado, es posiblemente uno de los logros científicos más importantes de nuestra era.

Hemos preparado esta edición de nuestro Bourbakisme para contar solo un poco del monumental trabajo detrás de este premio, le agradecemos mucho a nuestros lectores su complicidad con nosotros pues de ninguna manera somos expertos en el estudio de las proteínas. Por lo anterior hemos decidido presentar exclusivamente un aspecto relacionado con Deep Learning que desde nuestro punto de vista es un cambio sustancial hecho a la medida del problema del desdoblamiento de las proteínas.
Vale la pena mencionar que en ediciones anteriores de este Bourbakisme ya hemos hablado sobre otro gran adelanto en las arquitecturas que es el uso de la desigualdad del triángulo para calcular la estructura 3 dimensional.
En el Colegio de Matemáticas Bourbaki estamos muy contentos con este premio porque hace algunos meses junto con nuestro amigo Alvaro de Obeso Fernandez del Valle organizamos un curso en nuestras Lecciones del Colegio Bourbaki precisamente sobre la importancia, aplicaciones y arquitecturas utilizadas en el desarrollo de AlphaFold desarrollado por Hassabis-Jumper y adaptado por Baker para mejorar los resultados de su algoritmo.
David Baker y Rosetta
Debido a nuestro desconocimiento sobre el magnífico trabajo de Baker no profundizaremos en los detalles sin embargo vale la pena mencionar que la historia de este premio comenzó con su trabajo como experto en la estructura de las proteínas.
Posiblemente el primer gran descubrimiento científico de esta historia se remonte al trabajo de John Kendrew y Max Perutz quienes recibieron el Premio Nobel en 1962 por sus métodos mediante rayos X para el estudio de la estructura tres dimensional de las proteínas. El problema por el que se premió a los científicos con el premio Nobel 2024 es precisamente lograr predecir la estructura tres dimensional observada utilizando técnicas menos costosas que las mencionadas.

El segundo gran salto en esta área fue premiada en 1972 también con el premio Nobel, esta vez para Christian Anfinsen quien descubrió que la estructura tres dimensional de las proteínas está determinada (no estocásticamente) por la estructura uno dimensional de sus aminoácidos. Este descubrimiento es sin lugar a dudas fabuloso.
Baker desarrolló un poderoso algoritmo llamado Rosetta el cual obtuvo resultados fabulosos para la predicción de la estructura tres dimensional de las proteínas. Es importante mencionar que su algoritmo no utilizaba un modelo entrenado con datos sino una búsqueda con métodos similares al de monte carlo.
Demis Hassabis: el CEentíficO
Demis Hassabis es el fundador de la compañía Google DeepMind que ha resuelto algunos de los problemas más complicados jamás por un modelo matemático, dentro de los logros más sobresalientes antes de AlphaFold está la derrota al mejor jugador de Go por la arquitectura AlpaGo. Esta arquitectura además de utilizar redes neuronales profundas hace uso del aprendizaje por refuerzo. Es conocido por su brillante carrera como jugador de ajedrez profesional.
En las últimas horas he leído algunos comentarios no muy agradables sobre la elección del premio para Hassabis y desde mi punto de vista son absolutamente injustificados. Siempre he admirado la importancia de la comunicación oral en la ciencia, cuando platicas con alguien sobre matemáticas o inteligencia artificial inmediatamente sabes si entiende o no de lo que está hablando. Hassabis no es solo el CEO en Google, cualquiera que lo haya escuchado hablar sobre los detalles técnicos en el desarrollo de AlphaFold notará que su participación no es la de un manager sino la de un científico serio. Además de lo anterior Hassabis ha sido premiado con innumerables reconocimientos incluyendo por ejemplo el premio Princesa de Asturias como pieza fundamental en el desarrollo de la Inteligencia Artificial.

En los últimos meses Hassabis ha sido un gran defensor de la regulación de la inteligencia artificial como una medida para cuidar los efectos adversos sobre las personas y en general sobre los aspectos más cotidianos de nuestra vida.
John M. Jumper y un mecanismo de atención invariante
Las primeras arquitecturas de AlphaFold eran bastante inmediatas, la entrada era una secuencia y la salida era un 3-tensor. Las capas que se utilizaban eran convolucionales lo cual es bastante razonable para el tipo de problema que se desea resolver. Estas arquitecturas pronto llamaron la atención en la competencia más importante para la predicción de estructuras tres dimensionales.
Las últimas versiones de AlphaFold incluyen no solo una red neuronal input-output sino un complejo sistema que contiene por ejemplo una inteligente búsqueda en bases de datos con el objetivo de enriquecer la cantidad de información con la que se hace la predicción.

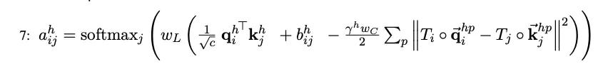
Uno de los grandes adelantos introducidos por Jumper en el desarrollo de estos modelos es el uso del mecanismo de atención, en particular de las capas Invariant-Point Attention las cuales son un adelanto significativo en el uso de estas capas.
La intuición detrás de este cambio es el siguiente, así como las capas convolucionales serán invariantes respecto a las traslaciones, deseamos que estas arquitecturas sean invariantes respecto a las rotaciones. Esto está relacionado con que la estructura tres dimensional de una proteína no debería de cambiar cuando realizamos una rotación.

La manera como lo logran es añadiendo al mecanismo de atención tradicional la suma de distancias euclidianas. La distancia euclidiana es una función que es invariante por traslación por lo que nos ayuda a mejorar el prior de nuestras arquitecturas y por ende mejorar su capacidad estadística.
¿Dónde aprender Deep Learning y sus aplicaciones?
En el Colegio de Matemáticas Bourbaki enseñamos con detalle las matemáticas y los usos de las redes neuronales profundas, les invirtamos a revisar nuestra oferta académica para elegir el curso adecuado.
- Track de Ciencia de Datos. (49 semanas).
- Machine Learning & AI for the Working Analyst ( 12 semanas).
- Matemáticas para Ciencia de Datos ( 24 semanas).
- Especialización en Deep Learning. (12 semanas).
- Track de Finanzas Cuantitativas (49 semanas)
- Aplicaciones Financieras De Machine Learning E IA ( 12 semanas).
- Las matemáticas de los mercados financieros (24 semanas).
- Deep Learning for Finance (12 semanas).




